
學校招生辦電話:0883-8882659/8882998/8882614
監督電話:0883-8882027
|
背景:
閱讀全文
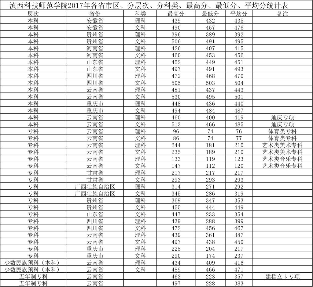
滇西科技師范學院2017年各省市區錄取分數統計表
學校招生辦電話:0883-8882659/8882998/8882614 監督電話:0883-8882027
相關信息鏈接
滇西科技師范學院
熱門培訓課程
|
熱門培訓課程
本周熱門閱讀
網友點贊排行
熱門評論
|